2025年中华遗嘱库义工名单公示

2025-07-08 15:37 | 查看: 130499


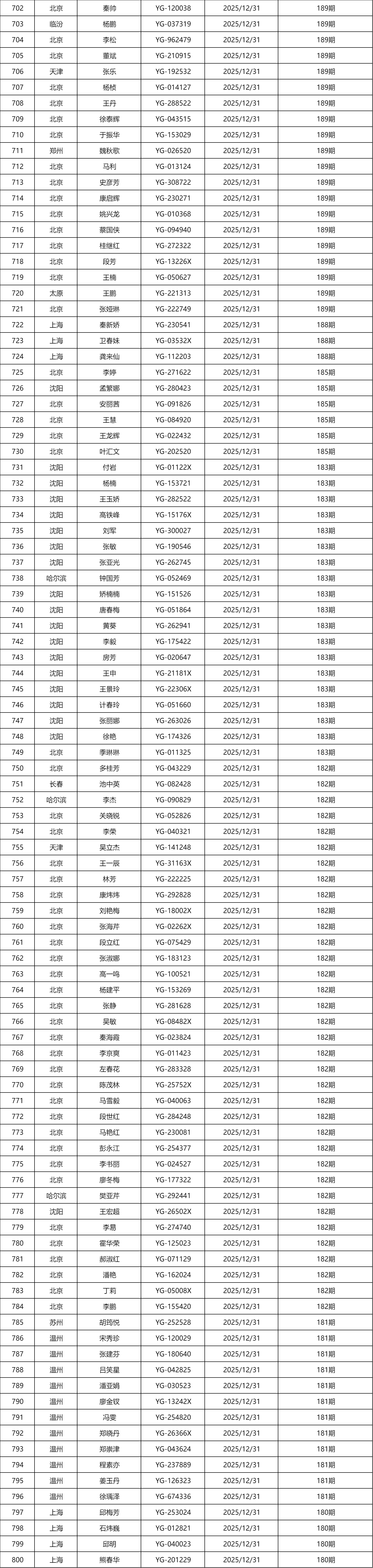
2025年中华遗嘱库义工名单公示(有效期至2025年12月31日)


根据《中华遗嘱库义工管理办法》,为广泛接受社会监督、更好地服务老年人,经过本人申请、培训、考核、发证等程序,现对中华遗嘱库义工名单进行公示。


特别提示:本次公示的义工身份有效期截止至 2025年12月31日。


欢迎社会各界进行监督。


中国老龄事业发展基金会

中华遗嘱库项目管理办公室

2025年7月8日


1.png2.png3.png4.png5.png6.png7.png

8.png

9.png

10.png


11.png12.png

1f7902caa0368f14851ac728edf2765a.png

9fe11729067c05b2fb2ab5fcf4885626.png


Baidu
map